Rekapitulace odpovědí testu >>
0 z 60 otázek je zodpovězeno
Otázky:
- 1
- 2
- 3
- 4
- 5
- 6
- 7
- 8
- 9
- 10
- 11
- 12
- 13
- 14
- 15
- 16
- 17
- 18
- 19
- 20
- 21
- 22
- 23
- 24
- 25
- 26
- 27
- 28
- 29
- 30
- 31
- 32
- 33
- 34
- 35
- 36
- 37
- 38
- 39
- 40
- 41
- 42
- 43
- 44
- 45
- 46
- 47
- 48
- 49
- 50
- 51
- 52
- 53
- 54
- 55
- 56
- 57
- 58
- 59
- 60
Information
Vážená uchazečko, vážený uchazeči,
v souvislosti se zkvalitňováním průběhu přijímacího řízení na FF UP Vám nabízíme tyto zkušební testy. Můžete si zde vyzkoušet a nacvičit jejich vyplňování. Rádi bychom Vás zároveň požádali o vyplnění níže uvedených údajů (věk, pohlaví, typ školy, prospěch…), abychom mohli testy v budoucnu lépe uzpůsobit cílové skupině. Všechny tyto údaje jsou zpracovávány anonymně a nejsou nijak spojovány s Vaší osobou, vyplňujte je prosím pravdivě.
Děkujeme a přejeme hodně zdaru!
Přípravný tým přijímacího řízení na FF UP
![]()
|
Musíte vložit číslo. |
|
|
Toto pole musíte vyplnit. |
|
|
Musíte vložit text. |
|
|
Musíte vložit text. |
|
|
Toto pole musíte vyplnit. |
|
|
Toto pole musíte vyplnit. |
|
|
Toto pole musíte vyplnit. |
|
|
Musíte vložit text. |
You have already completed the quiz before. Hence you can not start it again.
Test se otevírá ...
You must sign in or sign up to start the quiz.
You have to finish following quiz, to start this quiz:
Vyhodnocení testu
0 z 60 otázek bylo zodpovězeno správně
Váš čas:
Čas byl překročen
Získal/la jste 0 z 0 bodů, (0)
| Average score |
|
| Your score |
|
Kategorie
- Oddíl oborových znalostí 0%
- Oddíl předpokladů ke studiu 0%
- 1
- 2
- 3
- 4
- 5
- 6
- 7
- 8
- 9
- 10
- 11
- 12
- 13
- 14
- 15
- 16
- 17
- 18
- 19
- 20
- 21
- 22
- 23
- 24
- 25
- 26
- 27
- 28
- 29
- 30
- 31
- 32
- 33
- 34
- 35
- 36
- 37
- 38
- 39
- 40
- 41
- 42
- 43
- 44
- 45
- 46
- 47
- 48
- 49
- 50
- 51
- 52
- 53
- 54
- 55
- 56
- 57
- 58
- 59
- 60
- Odpovězeno
-
Question 1 of 60
Body: 1Kategorie: Oddíl oborových znalostí1. Počítačová metafora je pojmem užívaným především v
Správně
Nesprávná odpověď
-
Question 2 of 60
Body: 1Kategorie: Oddíl oborových znalostí2. Pojem intervenující proměnná zavedl behaviorista
Správně
Nesprávná odpověď
-
Question 3 of 60
Body: 1Kategorie: Oddíl oborových znalostí3. Čeho se týká teorie Daniela Dennetta?
Správně
Nesprávná odpověď
-
Question 4 of 60
Body: 1Kategorie: Oddíl oborových znalostí4. Alan Baddeley je zejména spojen s jakými výzkumy?
Správně
Nesprávná odpověď
-
Question 5 of 60
Body: 1Kategorie: Oddíl oborových znalostí5. Čím se zabýval Stanley Milgram ve svém známém experimentu?
Správně
Nesprávná odpověď
-
Question 6 of 60
Body: 1Kategorie: Oddíl oborových znalostí6. Kdo z uvedených autorů se věnoval klinickému výzkumu v psychologii osobnosti?
Správně
Nesprávná odpověď
-
Question 7 of 60
Body: 1Kategorie: Oddíl oborových znalostí7. Jak se nazývá filozofická disciplína zabývající se hodnocením a hodnotami?
Správně
Nesprávná odpověď
-
Question 8 of 60
Body: 1Kategorie: Oddíl oborových znalostí8. Dochází k bilancování dosavadního života a plánů, člověk se výrazněji konfrontuje s tématem smrti.
Který fenomén vystihuje tato definice?Správně
Nesprávná odpověď
-
Question 9 of 60
Body: 1Kategorie: Oddíl oborových znalostí9. Tzv. Lebenslauf-psychologii reprezentuje/í
Správně
Nesprávná odpověď
-
Question 10 of 60
Body: 1Kategorie: Oddíl oborových znalostí10. Mezi klíčové či také tzv. uzlové období vývoje NEPATŘÍ
Správně
Nesprávná odpověď
-
Question 11 of 60
Body: 1Kategorie: Oddíl oborových znalostí11. Jak se nazývá psychologický fenomén, který vysvětluje, proč mají lidé tendenci považovat obecné popisy osobnosti (např. horoskopy) za přesné a přizpůsobené jim?
Správně
Nesprávná odpověď
-
Question 12 of 60
Body: 1Kategorie: Oddíl oborových znalostí12. Jistý typ kognitivního zkreslení, kdy lidé s nedostatečnými kompetencemi a schopnostmi trpí iluzorní nadřazeností, se nazývá
Správně
Nesprávná odpověď
-
Question 13 of 60
Body: 1Kategorie: Oddíl oborových znalostí13. Kretschmerova typologie temperamentu je založená na
Správně
Nesprávná odpověď
-
Question 14 of 60
Body: 1Kategorie: Oddíl oborových znalostí14. Kdo je autorem konceptu osobnosti tzv. PEN modelu (psychoticismus, extraverze, neuroticismus)?
Správně
Nesprávná odpověď
-
Question 15 of 60
Body: 1Kategorie: Oddíl oborových znalostí15. Chování motivované primitivními popudy, kdy se intenzivní pudový impulz bezprostředně promítne do chování, v psychoanalýze označujeme jako
Správně
Nesprávná odpověď
-
Question 16 of 60
Body: 1Kategorie: Oddíl oborových znalostí16. Mezi slovy a jejich významy obvykle neexistuje žádný vnitřní vztah, tuto univerzální vlastnost jazyků nazýváme
Správně
Nesprávná odpověď
-
Question 17 of 60
Body: 1Kategorie: Oddíl oborových znalostí17. Mezi formy vnímání zdánlivého pohybu NEPATŘÍ
Správně
Nesprávná odpověď
-
Question 18 of 60
Body: 1Kategorie: Oddíl oborových znalostí18. Který psychologický princip je základem údajně fungující podprahové reklamy?
Správně
Nesprávná odpověď
-
Question 19 of 60
Body: 1Kategorie: Oddíl oborových znalostí19. Jaké jsou dva základní typy morálního usuzování podle J. Piageta?
Správně
Nesprávná odpověď
-
Question 20 of 60
Body: 1Kategorie: Oddíl oborových znalostí20. Kdo je autorem pojmu imprinting?
Správně
Nesprávná odpověď
-
Question 21 of 60
Body: 1Kategorie: Oddíl oborových znalostí21. Psychická očista je v psychoanalytické psychologii označována jako
Správně
Nesprávná odpověď
-
Question 22 of 60
Body: 1Kategorie: Oddíl oborových znalostí22. Termín kybergrooming označuje
Správně
Nesprávná odpověď
-
Question 23 of 60
Body: 1Kategorie: Oddíl oborových znalostí23. Japonský výraz hikikomori označuje
Správně
Nesprávná odpověď
-
Question 24 of 60
Body: 1Kategorie: Oddíl oborových znalostí24. Typ kybernetického podvodu, jehož cílem je prostřednictvím sociálního inženýrství získat od oběti citlivé údaje (např. hesla), se nazývá
Správně
Nesprávná odpověď
-
Question 25 of 60
Body: 1Kategorie: Oddíl oborových znalostí25. Jak říkáme úzkosti, která se rozvine při pouhé představě určité události či určitých okolností?
Správně
Nesprávná odpověď
-
Question 26 of 60
Body: 1Kategorie: Oddíl oborových znalostí26. Typickou poruchou vnímání u schizofrenie jsou
Správně
Nesprávná odpověď
-
Question 27 of 60
Body: 1Kategorie: Oddíl oborových znalostí27. Co je typické pro paranoidní poruchu osobnosti?
Správně
Nesprávná odpověď
-
Question 28 of 60
Body: 1Kategorie: Oddíl oborových znalostí28. Vyberte zcela správné tvrzení, které se týká lidského těla.
Správně
Nesprávná odpověď
-
Question 29 of 60
Body: 1Kategorie: Oddíl oborových znalostí29. Vyberte zcela správné tvrzení, které se týká lidského těla.
Správně
Nesprávná odpověď
-
Question 30 of 60
Body: 1Kategorie: Oddíl oborových znalostí30. Vyberte NESPRÁVNÉ tvrzení, které se týká lidského těla.
Správně
Nesprávná odpověď
-
Question 31 of 60
Body: 1Kategorie: Oddíl předpokladů ke studiu31. Vyberte slovní spojení, které svým významem mezi ostatní NEPATŘÍ.
Správně
Nesprávná odpověď
-
Question 32 of 60
Body: 1Kategorie: Oddíl předpokladů ke studiu32. Která z následujících možností nejlépe vystihuje význam slova homogenní?
Správně
Nesprávná odpověď
-
Question 33 of 60
Body: 1Kategorie: Oddíl předpokladů ke studiu33. Vyberte dvojici slov tvořících antonyma.
Správně
Nesprávná odpověď
-
Question 34 of 60
Body: 1Kategorie: Oddíl předpokladů ke studiu34. Přečtěte si úryvek a vyberte spojovací výraz, který se nejvíce hodí na vynechané místo.
Během spánku se střídají dvě fáze: REM a non-REM. Běžně užívané zkratky označující tyto fáze jsou z anglického rapid eyes movements (rychlé pohyby očí), které jsou pro REM fázi typické, ………… v non-REM fázi se nevyskytují.Správně
Nesprávná odpověď
-
Question 35 of 60
Body: 1Kategorie: Oddíl předpokladů ke studiu35. Která z následujících vět je napsána bez chyb (gramatických a pravopisných)?
Správně
Nesprávná odpověď
-
Question 36 of 60
Body: 1Kategorie: Oddíl předpokladů ke studiu36. Která z následujících vět obsahuje nespisovnou formulaci?
Správně
Nesprávná odpověď
-
Question 37 of 60
Body: 1Kategorie: Oddíl předpokladů ke studiu37. V následující větě je skryto víceslabičné slovo označující rostlinu. Najděte ho. Neměňte pořadí slov ani pořadí písmen v nich.
Kuchař se dopustil chyby, když při přípravě pečených kousků použil stejné koření jako při vaření.
O jakou rostlinu se jedná?Správně
Nesprávná odpověď
-
Question 38 of 60
Body: 1Kategorie: Oddíl předpokladů ke studiu38. Písmena níže zadaného slova lze použít k sestavení slov jiných. Každé písmeno můžete použít maximálně tolikrát, kolikrát se vyskytuje v zadaném slově. (Např. ze slova KOLO můžete „O“ použít nanejvýš dvakrát.) Které slovo z níže zadaného slova vytvořit NELZE?
VYZNAMENÁNÍSprávně
Nesprávná odpověď
-
Question 39 of 60
Body: 1Kategorie: Oddíl předpokladů ke studiu39. Skautská skupina si vytvořila tajný jazyk OUAU s vlastní gramatikou a svébytnou slovní zásobou. Přečtěte si následující jazyková pravidla a poté odpovězte na otázku.
A) Ouauština obsahuje pouze samohlásky A, O, I nebo U.
B) Podstatná jména začínají vždy na O a slovesa na U. Příklad: OIA UAI – Matka sedí.
C) Množné číslo podstatných jmen se tvoří pomocí zdvojených koncových samohlásek: OIAA – matky.
V nabídce najdete několik pokusů o překlad věty Synové leží do ouauštiny. Vyberte znění, jež je v souladu s výše uvedenými pravidly jazyka.Správně
Nesprávná odpověď
-
Question 40 of 60
Body: 1Kategorie: Oddíl předpokladů ke studiu40. Následující souvětí obsahuje nesmyslná slovní spojení, lze z něj nicméně odvodit logický závěr.
„Červená zrůžoví na bílou, která modrá žlutou u fialových, než zezelenají, aby pak sama zoranžověla do hnědé.“
Která barva zoranžověla?Správně
Nesprávná odpověď
-
Question 41 of 60
Body: 1Kategorie: Oddíl předpokladů ke studiu41. Pro které celé číslo platí, že jeho šestinásobek zvětšený o číslo 20 se rovná jeho dvounásobku?
Správně
Nesprávná odpověď
-
Question 42 of 60
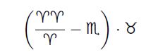
Body: 1Kategorie: Oddíl předpokladů ke studiu42. Lucku nebaví čísla, tak se rozhodla, že místo jednotlivých číslic začne používat jiné symboly. Místo nuly píše ☋, místo jedničky ♏ a nějaký symbol našla i pro zbývající číslice. Vypočítejte hodnotu takto zadaného výrazu.
Správně
Nesprávná odpověď
-
Question 43 of 60
Body: 1Kategorie: Oddíl předpokladů ke studiu43. Početní operace provádíme obvykle v tomto pořadí: dělení, násobení, odečítání, sčítání. Jaké hodnotě by se rovnal výsledek následujícího výrazu, pokud bychom navzdory konvenci použili toto pořadí operací: sčítání (+), dělení (÷), násobení (·), odečítání (−) ?
Správně
Nesprávná odpověď
-
Question 44 of 60
Body: 1Kategorie: Oddíl předpokladů ke studiu44. Číslo A může nabývat hodnot 3 nebo 9, číslo B může být 5 nebo 25, číslo C může být 2, 4 nebo 8 a číslo D je rovno 29. Které z následujících čísel může být hodnotou výrazu A ∙ B ∙ C ∙ D?
Správně
Nesprávná odpověď
-
Question 45 of 60
Body: 1Kategorie: Oddíl předpokladů ke studiu45. Učitel rozdal žákům oznámkované testy z matematiky. Pepíček ten den ve škole chyběl, a tak požádal spolužáky, aby mu sdělili, jaké známky kdo dostal. Dozvěděl se následující: Tři spolužáci dostali jedničku, devět dvojku, jeden trojku, žádný čtyřku a jeden pětku. Učitel kvůli ochraně osobních údajů Pepíčkovu známku neprozradil, ale sdělil, že průměrná známka celé třídy byla 2,0. Jakou známku dostal Pepíček?
Správně
Nesprávná odpověď
-
Question 46 of 60
Body: 1Kategorie: Oddíl předpokladů ke studiu46. V rámečku je popsán klíč, dle kterého lze zapsat libovolné číslo systémem čárkovaných symbolů. Jaký je správný zápis číselné kombinace 4 3 3 7 9 8 v rámci tohoto systému?
Správně
Nesprávná odpověď
-
Question 47 of 60
Body: 1Kategorie: Oddíl předpokladů ke studiu47. Na kterém z obrázků je kříž vpravo od kosočtverce, který je nad kruhem umístěným vpravo od obdélníku?
Správně
Nesprávná odpověď
-
Question 48 of 60
Body: 1Kategorie: Oddíl předpokladů ke studiu48. Který z obrazců a-e NEZAPADÁ do žádného ze vzorů?
Správně
Nesprávná odpověď
-
Question 49 of 60
Body: 1Kategorie: Oddíl předpokladů ke studiu49. Který z ciferníků patří na místo otazníku?
Správně
Nesprávná odpověď
-
Question 50 of 60
Body: 1Kategorie: Oddíl předpokladů ke studiu50. Z obou jabloňových sadů vyjede jedno jablky plně naložené nákladní auto do každé z moštáren. Do každé moštárny tak dojedou dvě auta. Moštárny za tento svoz platí pevnou cenu za kilometr cesty. Která z moštáren za svoz zaplatí nejméně? Pozor, auta cestou nesmí přejet kachnu!
Správně
Nesprávná odpověď
-
Question 51 of 60
Body: 1Kategorie: Oddíl předpokladů ke studiu51. V dopravně psychologickém experimentu bylo zkoumáno, které faktory ovlivňují rychlost reakce řidiče. Účastníci řídili automobil po předepsané trase, na které jim v nečekaný moment vstoupila do cesty figurantka. U každého řidiče byl zaznamenán reakční čas – tedy počet milisekund, který uplynul od výskytu překážky do sešlápnutí brzdového pedálu. Výzkumný soubor tvořili řidiči začátečníci i zkušení řidiči, část absolvovala trasu ve dne, část v noci. Někteří účastníci byli zároveň instruováni, aby během jízdy používali mobilní telefon. Celkem tak vzniklo osm kombinací experimentálních podmínek. Níže uvedený graf znázorňuje průměrný reakční čas ve všech těchto podmínkách.
Které z následujících tvrzení nejlépe vystihuje údaje v grafu?
Správně
Nesprávná odpověď
-
Question 52 of 60
Body: 1Kategorie: Oddíl předpokladů ke studiu52. Následující tabulka zachycuje předměty, které si může student zapsat na středu, jejich kreditové ohodnocení a čas, kdy jsou vyučovány. Povinností studenta je účastnit se předmětu v celém jeho časovém rozsahu. Předměty jsou vyučovány v téže budově, přechody z jedné výuky do druhé lze zanedbat.

S ohledem na pravidla při zapisování rozvrhu rozhodněte, který výrok NEPLATÍ.
Správně
Nesprávná odpověď
-
Question 53 of 60
Body: 1Kategorie: Oddíl předpokladů ke studiu53. Které z následujících tvrzení je pravdivé vzhledem ke grafu, jenž popisuje počty přijatých studentů na obory A, B, C a D?
Správně
Nesprávná odpověď
-
Question 54 of 60
Body: 1Kategorie: Oddíl předpokladů ke studiu54. Přečtete si následující popis diagnózy a určete, který z výroků je v souladu s uvedenými informacemi.
Správně
Nesprávná odpověď
-
Question 55 of 60
Body: 1Kategorie: Oddíl předpokladů ke studiu55. Přečtěte si následující text a určete, které tvrzení z něj logicky vyplývá.
Správně
Nesprávná odpověď
-
Question 56 of 60
Body: 1Kategorie: Oddíl předpokladů ke studiu56. Vyberte tvrzení, které je v rozporu s uvedenými výzkumnými zjištěními nebo je hrubě dezinterpretuje.
Správně
Nesprávná odpověď
-
Question 57 of 60
Body: 1Kategorie: Oddíl předpokladů ke studiu57. Nový film byl promítnut testovací skupině diváků. Následující tabulka popisuje, jestli se tento film divákům líbil nebo nelíbil. Které z následujících tvrzení je na základě této tabulky NESPRÁVNÉ?
Správně
Nesprávná odpověď
-
Question 58 of 60
Body: 1Kategorie: Oddíl předpokladů ke studiu58. Falešná dichotomie (false dilemma) je klam, kdy je situace prezentována, jako by měla pouze dvě možnosti, přičemž ve skutečnosti existuje více alternativ. Vyberte tvrzení, které nejlépe ilustruje tento klam.
Správně
Nesprávná odpověď
-
Question 59 of 60
Body: 1Kategorie: Oddíl předpokladů ke studiu59. Následující text obsahuje popis staré kouzelnické hry Aingingein pocházející z pera J. K. Rowlingové. Věty se ovšem pomíchaly.
A Nesměl však přitom na trase chytit plamenem.
B Báň bylo nutno prohodit posledním sudem.
C Rychle s ním prolétali řadou hořících sudů umístěných na pilotách vysoko ve vzduchu.
D Ve skutečnosti šlo o nafouknutý kozí žlučový měchýř.
E Vítězem se stával hráč, který Báň prohodil posledním sudem v nejkratším čase.
F Hráči se jeden po druhém chápali Báně neboli míče.
Z nabídek uspořádání vyberte tu, která z výše uvedených vět vytvoří smysluplný, logicky navazující celek.Správně
Nesprávná odpověď
-
Question 60 of 60
Body: 1Kategorie: Oddíl předpokladů ke studiu60. Hypotéza je testovatelný výrok o vztahu mezi minimálně dvěma proměnnými. Je formulována v přítomném čase, neobsahuje hodnotící výrazy („lepší“, „horší“ apod.) ani špatně definovatelné pojmy („štěstí“, „nadání“ apod.). Hypotéza může být buď jednostranná, předpokládající, že mezi proměnnými existuje vztah určitého směru (např. A je větší než B, A je menší než B), nebo oboustranná, která předpokládá, že mezi proměnnými existuje jakýkoli vztah (např. A se liší od B), bez určení směru tohoto rozdílu.
Který z následujících výroků splňuje nároky kladené na hypotézy a je hypotézou oboustrannou?Správně
Nesprávná odpověď